вторник, 14 апреля 2020 г.

Контрольная работа по теме "Формулы и уравнения" (6Б, 15 апреля)

Прежде чем начинать выполнять работу, пожалуйста внимательно прочитайте этот пост.
1. Заполните форму о том, что видели этот пост.
2. Познакомьтесь с образцом заданий контролькой работы и посмотрите ее разбор


3. Выполните контрольную работу в Яклассе (доступно 15 апреля с 7:00)
Обратите внимание:
  • на работу дается одна попытка и действует ограничение по времени в 40 минут!
  • на оценку влияют только те задания, ответы на которые вы успели дать в Яклассе;
  • не беспокойтесь, времени на решение достаточно и задания в работе аналогичны тем, что в образце;
  • в Яклассе Вам нужно написать только ответы (про решение в пункте 4);
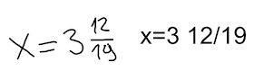
  • при записи ответов на Вам придется записывать дроби, это можно сделать так:
 
4. Решение сфотографируйте и вышлите на почту infmatem208@gmail.com
В письме пожалуйста указывайте фамилию, класс и тему урока.



Комментариев нет:

Отправить комментарий